FnR

R-CMD-check cran-version-last-release cran-downloads github-release github-license github-contributors

FnR (“F” stands for inbreeding coefficient and “R” stands for the numerator relationship coefficient) is an R package for the estimation of inbreeding coefficients of animals in the pedigree or their future progeny, and numerator relationship coefficients between pairs of individuals.

Installation

You can install the development version of FnR like so:

devtools::install_github('nilforooshan/FnR')

Examples

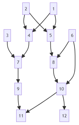
Let’s use the following example pedigree.

(ped <- data.frame(
  ID = 1:12,
  SIRE = c(0, 0, 0, 2, 2, 0, 4, 6, 0, 6, 10, 10),
  DAM = c(0, 0, 0, 1, 1, 0, 3, 5, 7, 8, 9, 0)
))
   ID SIRE DAM
1   1    0   0
2   2    0   0
3   3    0   0
4   4    2   1
5   5    2   1
6   6    0   0
7   7    4   3
8   8    6   5
9   9    0   7
10 10    6   8
11 11   10   9
12 12   10   0

Let’s assume that previously, 9 of 12 animals were in the pedigree, and inbreeding (f) and d coefficients (diagonal elements of the diagonal matrix D in \(\mathbf A = \mathbf{TDT}'\)) were calculated and saved.

oldped <- ped[1:9, ]
(oldrun <- resume_inbreed(oldped, export_d = TRUE))
$f
[1] 0 0 0 0 0 0 0 0 0

$d
[1] 1.00 1.00 1.00 0.50 0.50 1.00 0.50 0.50 0.75

Calculating inbreeding coefficients as if f and d coefficients from the previous analysis are not available:

resume_inbreed(ped)
[1] 0.000000 0.000000 0.000000 0.000000 0.000000 0.000000 0.000000 0.000000 0.000000 0.250000 0.015625 0.000000

Calculating inbreeding coefficients as if f coefficients from the previous analysis are available, but not d coefficients:

resume_inbreed(ped, f = oldrun$f)
[1] 0.000000 0.000000 0.000000 0.000000 0.000000 0.000000 0.000000 0.000000 0.000000 0.250000 0.015625 0.000000

Calculating inbreeding coefficients as if f and d coefficients from the previous analysis are available:

resume_inbreed(ped, f = oldrun$f, d = oldrun$d)
[1] 0.000000 0.000000 0.000000 0.000000 0.000000 0.000000 0.000000 0.000000 0.000000 0.250000 0.015625 0.000000

Let’s calculate the numerator relationship coefficients between two groups of animals, one’s members not among dams, and the members of the other not among sires.

calcR(ped, set1 = c(12, 6), set2 = c(11, 8), type = "notdam-notsire")
Estimating inbreeding coefficients based on Meuwissen and Luo (1992)
Calculating numerator relationship coefficients based on Van Vleck (2007)
          11     8
12 0.3203125 0.375
6  0.3750000 0.500

What is the inbreeding coefficient of a future progeny of 11 and 12? It is half of the relationship coefficient between the two individuals (0.320312/2).

Since "notdam-notsire" is the default type, type = "notdam-notsire" might be omitted. Where relationship coefficients between dams and between sires are needed, type = "dam-dam" and type = "sire-sire" are used, respectively.

Let’s calculate the numerator relationship coefficients between dam 7 and dams 8 and 9.

calcR(ped, set1 = 7, set2 = 8:9, type = "dam-dam")
Estimating inbreeding coefficients based on Meuwissen and Luo (1992)
Calculating numerator relationship coefficients based on Van Vleck (2007)
      8   9
7 0.125 0.5

The relationship coefficients between sires 2 & 6 and sires 4 & 10 are calculated as:

calcR(ped, set1 = c(2, 6), set2 = c(4, 10), type = "sire-sire")
Estimating inbreeding coefficients based on Meuwissen and Luo (1992)
Calculating numerator relationship coefficients based on Van Vleck (2007)
    4    10
2 0.5 0.125
6 0.0 0.750

If inbreeding coefficients of the population or previous inbreeding estimates with a smaller pedigree are available, those can be used via the argument f to speed up the procedure. Similarly, if d coefficients are available, those can be used alongside the inbreeding coefficients via the argument d.

f <- rep(0, 12)
f[10] <- 0.25
f[11] <- 0.015625
d <- c(1, 1, 1, 0.5, 0.5, 1, 0.5, 0.5, 0.75, 0.5, 0.4375, 0.6875)
calcR(ped, set1 = c(2, 6), set2 = c(4, 10), type = "sire-sire", f = f, d = d)
Estimating inbreeding coefficients based on Meuwissen and Luo (1992)
Calculating numerator relationship coefficients based on Van Vleck (2007)
    4    10
2 0.5 0.125
6 0.0 0.750

For very large pedigree and small set1 and set2, one may consider extracting a sub-pedigree by tracing the pedigree upward from set1 and set2 (i.e., ggroups::pedup(ped, c(set1, set2))).